Xycoon logo
Hypothesis Testing
Home    Site Map    Site Search    Free Online Software    
horizontal divider
vertical whitespace

Hypothesis Testing - Statistical Test of Variance - Theory & Examples

[Home] [Introduction] [Mean (var. known)] [Variance] [Mean (var. unknown)] [Pop. Proportion]

Theory: [Population] [Sample] [Overview] [Chi-square distribution] [Chi-square Approximation] [Sample Variance Distribution] [Summary]
Examples: [Critical Value] [P-Value] [Confidence Intervals for Sample Variance] [Confidence Intervals for Population Variance]



Statistical Hypothesis: Testing Variance -- Population

Population distribution:

Population distribution: X is normally distributed, variance is unknown, expected value is known or unknown

[top]


Statistical Hypothesis: Testing Variance -- Sample

Sample statistics:

sample statistic: n times the sample variance over the population variance

Sample distribution:

the sample statistic has a chi-square distribution with n degrees of freedom (mean is known) or n-1 degrees of freedom (mean is unknown)

[top]




Statistical Hypothesis: Testing Variance -- Critical Region

Table overview:

[top]




Statistical Hypothesis: Testing Variance -- the Chi-square distribution

Definition

Let X be a stochastic variable following a normal distribution with expected value mu and variance equal to sigma-squared

From this it follows that u = (X - mu) over sigma is standard normally distributed

The Chi-square distribution with one degree of freedom is defined as the square of a standard normal distributed variate

The Chi-square distribution with n degrees of freedom is defined as the sum of n squared in-dependent standard normal distributed variates

[top]



Property 1

The sum (difference) of two independent  Chi-square distributed variates, with degrees of freedom n1 and n2 respectively, is also Chi-square distributed with degrees of freedom equal to the sum (difference) of the degrees of freedom (n1, n2).

Property 2

The expected value of a Chi-square distributed variate is equal to the number of degrees of freedom

The variance of a Chi-square distributed variate is equal to two times the number of degrees of freedom

[top]




Statistical Hypothesis: Testing Variance -- Approximation of the Chi-square distribution

Rule of thumb

For larger samples, i.e. for sample sizes n > 30, the distribution can be approximated by the standard normal distribution.

Example

Find the critical value for the chi-square distribution if n = 30 and alpha (type I error) = 5%

using the normal approximation

since k = 1.645 it follows that the approximation results in c = 43.49 against a correct tabulated value of 43.773.

[top]




Statistical Hypothesis: Testing Variance -- Distribution of Sample Variance

Proof

formula

formula

solution

[top]



From a random sample, with sample size n and drawn from a population following a normal distribution and given mean and standard deviation, the sample variance can be estimated as described in the following cases.

Estimation - Case 1: mean is unknown

formula

formula

formula

[top]



Estimation - Case 1: mean is known

formula

[top]




Statistical Hypothesis: Testing Variance -- Summary

Estimation of variance - distribution of test statistic - degrees of freedom

summary

[top]




Statistical Hypothesis: Testing Variance -- Example 1: Critical Value (Region)

Free Statistics Software (Calculator)

use this Software (Calculator) to solve this problem

Problem

problem

Solution

solution

Conclusion

conclusion

[top]


Statistical Hypothesis: Testing Variance -- Example 2: P-value (probability)

Free Statistics Software (Calculator)

use this Software (Calculator) to solve this problem

Problem

problem

Solution

solution

Conclusion

conclusion

[top]




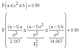
Statistical Hypothesis: Testing Variance -- Example 3: Confidence intervals for Sample Variance

Free Statistics Software (Calculator)

use this Software (Calculator) to solve this problem

Problem

problem

Solution

solution (part 1)

solution (part 2)

solution (part 3)

Conclusion

conclusion

[top]




Statistical Hypothesis: Testing Variance -- Example 4: Confidence intervals for Population Variance

Free Statistics Software (Calculator)

use this Software (Calculator) to solve this problem

Problem

problem

Solution

solution (part 1)

solution (part 2)

solution (part 3)

Conclusion

conclusion

[top]



vertical whitespace




Home
Introduction
Mean (var. known)
Variance
Mean (var. unknown)
Pop. Proportion
horizontal divider
horizontal divider

© 2000-2022 All rights reserved. All Photographs (jpg files) are the property of Corel Corporation, Microsoft and their licensors. We acquired a non-transferable license to use these pictures in this website.
The free use of the scientific content in this website is granted for non commercial use only. In any case, the source (url) should always be clearly displayed. Under no circumstances are you allowed to reproduce, copy or redistribute the design, layout, or any content of this website (for commercial use) including any materials contained herein without the express written permission.

Information provided on this web site is provided "AS IS" without warranty of any kind, either express or implied, including, without limitation, warranties of merchantability, fitness for a particular purpose, and noninfringement. We use reasonable efforts to include accurate and timely information and periodically updates the information without notice. However, we make no warranties or representations as to the accuracy or completeness of such information, and it assumes no liability or responsibility for errors or omissions in the content of this web site. Your use of this web site is AT YOUR OWN RISK. Under no circumstances and under no legal theory shall we be liable to you or any other person for any direct, indirect, special, incidental, exemplary, or consequential damages arising from your access to, or use of, this web site.

Contributions and Scientific Research: Prof. Dr. E. Borghers, Prof. Dr. P. Wessa
Please, cite this website when used in publications: Xycoon (or Authors), Statistics - Econometrics - Forecasting (Title), Office for Research Development and Education (Publisher), http://www.xycoon.com/ (URL), (access or printout date).

Comments, Feedback, Bugs, Errors | Privacy Policy