Xycoon logo
Statistical Distributions
Home    Site Map    Site Search    Free Online Software    
horizontal divider
vertical whitespace

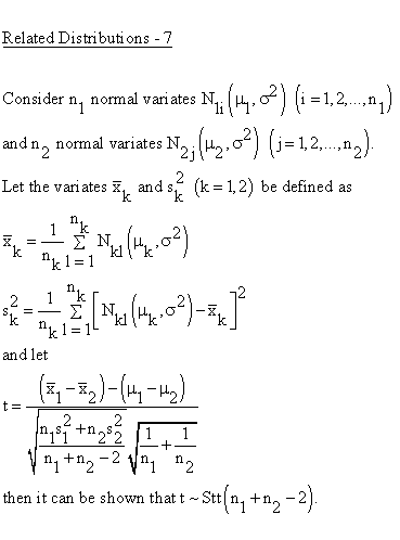
Statistical Distributions - Student t Distribution - Related Distributions7 - Student t-Distribution versus Normal Distribution

[Home] [Up] [Notation] [Range] [Parameters] [Density Function] [Moments Centered] [Expected Value] [Variance] [Median] [Mode] [Skewness] [Kurtosis] [Random Numbers] [Properties 1] [Relationships 1] [Relationships 2] [Relationships 3] [Relationships 4] [Relationships 5] [Relationships 6] [Relationships 7]


Continuous Distributions - Student t Distribution - Related Distributions

7 - Student t-Distribution versus Normal Distribution

vertical whitespace




Home
Up
Notation
Range
Parameters
Density Function
Moments Centered
Expected Value
Variance
Median
Mode
Skewness
Kurtosis
Random Numbers
Properties 1
Relationships 1
Relationships 2
Relationships 3
Relationships 4
Relationships 5
Relationships 6
Relationships 7
horizontal divider
horizontal divider

© 2000-2022 All rights reserved. All Photographs (jpg files) are the property of Corel Corporation, Microsoft and their licensors. We acquired a non-transferable license to use these pictures in this website.
The free use of the scientific content in this website is granted for non commercial use only. In any case, the source (url) should always be clearly displayed. Under no circumstances are you allowed to reproduce, copy or redistribute the design, layout, or any content of this website (for commercial use) including any materials contained herein without the express written permission.

Information provided on this web site is provided "AS IS" without warranty of any kind, either express or implied, including, without limitation, warranties of merchantability, fitness for a particular purpose, and noninfringement. We use reasonable efforts to include accurate and timely information and periodically updates the information without notice. However, we make no warranties or representations as to the accuracy or completeness of such information, and it assumes no liability or responsibility for errors or omissions in the content of this web site. Your use of this web site is AT YOUR OWN RISK. Under no circumstances and under no legal theory shall we be liable to you or any other person for any direct, indirect, special, incidental, exemplary, or consequential damages arising from your access to, or use of, this web site.

Contributions and Scientific Research: Prof. Dr. E. Borghers, Prof. Dr. P. Wessa
Please, cite this website when used in publications: Xycoon (or Authors), Statistics - Econometrics - Forecasting (Title), Office for Research Development and Education (Publisher), http://www.xycoon.com/ (URL), (access or printout date).

Comments, Feedback, Bugs, Errors | Privacy Policy